Индуктивные датчики с аналоговым выходом (индуктивные преобразователи перемещения)
Войти

Индуктивные датчики с аналоговым выходом (индуктивные преобразователи перемещения)

Индуктивные датчики с аналоговым выходом (индуктивные преобразователи перемещения)

Значительное число задач автоматизации в промышленности в настоящее время решается при помощи бесконтактных индуктивных выключателей. Выбор в пользу индуктивных датчиков обусловлен прежде всего сочетанием таких качеств как простота использования, высокая надёжность, широкая номенклатура электрических и конструктивных характеристик и невысокая стоимость. Подавляющее большинство из них использует амплитудный принцип, т.е. преобразование амплитуды синусоидальных колебаний LC – генератора в выходной дискретный сигнал "включено / выключено". Амплитуда колебаний зависит от величины затухания, вносимой в колебательный контур генератора металлическим предметом, находящимся на расстоянии S от сенсора . Структурная схема таких датчиков показана на Рис.1.

Структурная схема индуктивных датчиков перемещения

На Рис.1 обозначены:

  1. чувствительный элемент – сенсор (катушка на магнитопроводе);
  2. LC – генератор синусоидальных колебаний;
  3. демодулятор (детектор);
  4. пороговое устройство (компаратор);
  5. выходной ключевой усилитель.

Существующее многообразие выпускаемых многими фирмами индуктивных датчиков, использующих этот принцип работы, позволяет строить на их основе разнообразные автоматизированные системы управления. Часто, наряду с элементарной информацией о наличии или отсутствии объекта в контролируемой (рабочей) зоне, требуется знать расстояние до него, направление и скорость его перемещения. Такие задачи возникают, например, при построении систем регулировки натяжения тросов, проводов, лент, измерении толщины листовых материалов, распознавании неровностей на них и т.д. Выходным в этом случае является уже не бинарный сигнал "да / нет" ("включено / выключено"), а непрерывно – монотонный, т.е. аналоговый.

Наиболее простым, логичным и надежным представляется способ получения такой информации при помощи тех же физических принципов, которые лежат в основе построения упомянутых выше индуктивных выключателей, т.е. зависимости амплитуды синусоидальных колебаний LC – генератора от расстояния S между объектом и чувствительной поверхностью датчика. Структурно такой датчик даже проще обычного: в нем отсутствуют пороговое устройство (компаратор) и выходные ключи (со схемами защиты). Это означает в том числе и большую надежность. Такие датчики получили достаточное распространение, называются датчиками с аналоговым выходом, аналоговыми датчиками или датчиками с пропорциональным выходом и выпускаются большинством ведущих фирм – производителей датчиков.

Такие датчики имеют структуру (см. Рис.2), состоящую из:

  1. чувствительного элемента – сенсора;
  2. LC – генератора;
  3. демодулятора (детектора);
  4. буферного усилителя;
  5. преобразователя "напряжение – ток".

датчики имеют структуру (см. Рис.2), состоящую

LC – генератор может быть выполнен по любой из известных, традиционно применяемых в индуктивных датчиках, схеме : индуктивная или емкостная трехточка с активным элементом на транзисторах (биполярных или полевых) или операционном усилителе(ОУ).

Основным требованием к схемотехнике LC – генератора является необходимость обеспечения монотонности и высокой линейности модуляционной характеристики.

Демодулятор должен работать на линейном участке амплитудной характеристики.

В этом случае будет соблюдаться пропорциональность и линейность детектирования, что также необходимо для сквозной линейности всего датчика.

Буферный усилитель обеспечивает необходимое согласование демодулятора с выходной нагрузкой (для выхода по напряжению). Буфер представляет собой линейный усилитель с высоким входным и низким выходным сопротивлениями и чаще (и проще) всего реализуется на операционных усилителях (ОУ).

Преобразователь "напряжение – ток" обеспечивает стандартный токовый выход " (0 ÷ 20) мА" или "(4 ÷ 20) мА" и представляет собой схему вида "источник тока, управляемый напряжением" и обычно также выполняется на ОУ.

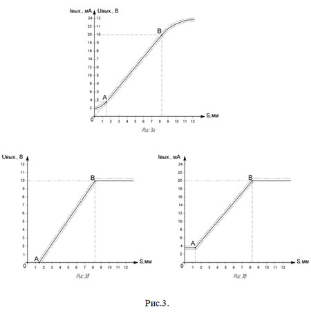
Типовые характеристики Uвых. = f (S) и Iвых. = f (S) аналоговых датчиков представлены на Рис.3. Отрезки АВ на графиках обозначают линейную зону передаточных характеристик.

общим для всех функциональных узлов в аналоговых датчиках является требование линейности

Как не трудно заметить, общим для всех функциональных узлов в аналоговых датчиках является требование линейности. Аналоговые датчики обеспечивают непрерывность и монотонность сквозной характеристики Uвых. = f (S) или Iвых. = f (S) во всем диапазоне изменения S. Однако, ряд ведущих фирм – производителей (TURCK, OMRON, ТЕКО и др.) предлагают индуктивные датчики с аналоговым выходом , у которых на ограниченном (обычно около 60% от S) участке сквозной характеристики гарантируется высокая линейность (отклонение от линейной зависимости менее 3%). Это позволяет на основе таких датчиков проектировать устройства, измеряющие расстояние до объекта с установленной точностью или, например, используя калиброванный упругий элемент можно построить недорогие измерители натяжения, давления, аналоговые весы. Традиционно для таких целей использовались индуктивные измерительные преобразователи. Они обладают высокой точностью и линейностью преобразования в сотые доли процента. Однако, наличие в их конструкции механических подвижных частей, сложных индуктивных элементов заметно снижает надёжность, простоту установки и эксплуатации на объекте, а также значительно повышает их инерционность и стоимость. К тому же, в комплект измерительного  преобразователя входит отдельный блок, формирующий стандартные выходные сигналы. Это так-же увеличивает громоздкость и стоимость системы.

Быстродействующие аналоговые системы управления электроприводом, системы позиционирования средней точности и упоминавшиеся выше разнообразные устройства автоматического поддержания натяжения проводов, тросов, лент – это примеры, где применение индуктивных датчиков с аналоговым выходом наиболее эффективно с технической точки зрения и выгодно экономически.

Аналоговый датчик может быть использован в несложной системе автоматического управления как один из элементов замкнутой петли обратной связи, где его выходной аналоговый сигнал является непосредственно управляющим для исполнительного устройства или драйвера. Большие возможности открываются при использовании таких датчиков в системах автоматического управления с цифровыми каналами. Аналого-цифровое преобразование сейчас традиционно производится при помощи контроллеров, которые позволяют помимо прямых задач управления и регулирования, программно скорректировать остающуюся "аналоговую" нелинейность датчика, уменьшив её примерно на порядок. В этом случае доминирующими становятся температурные дрейфы Uвых. = f (t) и Iвых. = f (t), которые в свою очередь, могут быть снижены до приемлемых величин как программно, так и аппаратно (схемотехнически). Первый способ очевиден  и легко реализуем в "контроллерных" датчиках. Преимущество второго способа состоит в большей компактности и надежности, особенно при тяжелых условиях эксплуатации. К тому же такие датчики на сегодняшний день ощутимо дешевле. Эти факторы часто являются определяющими при выборе датчиков с аналоговым выходом.

Индуктивные датчики с аналоговым выходом серийно производятся отечественной компанией ТЕКО (www.teko-com.ru) в течение 10 лет. Их отличает традиционно высокое качество при невысокой цене, что позволяет компании успешно конкурировать на Российском рынке с такими известными фирмами как TURCK, OMRON и др. Помимо датчиков, являющихся т.н. промышленными стандартами, компанией ТЕКО выпускаются и не имеющие аналогов (полных или функциональных). К ним относятся,например, датчики из новой линейки (в каталоге продукции ТЕКО они именуются как индуктивные преобразователи перемещения (ИПП)), и предназначенные для работы в жестких климатических условиях, в частности в условиях Крайнего Севера и Заполярья. Диапазон рабочих температур этих ИПП составляет : минус 60°С … +60°С. TURCK, OMRON , СЕНСОР гарантируют работу своих аналоговых датчиков в диапазоне от минус 10°С до +70°С. Достигнуть таких характеристик удалось благодаря оригинальным схемным решениям, оптимальной топологии и применению высококачественных компонентов.

Кроме датчиков, работающих в широком температурном диапазоне, оригинальными являются недавно освоенные в производстве компанией ТЕКО аналоговые датчики в миниатюрных корпусах типоразмеров М8 и М10, что при традиционно высоком отношении "качество/цена" также позволяет им быть весьма конкурентоспособными.

Следует обратить внимание на ещё одну особенность датчиков с аналоговым выходом производства ТЕКО – это отсутствие резких изломов на характеристиках Uвых. = f (S) и Iвых. = f (S) за пределами рабочей зоны, т.е. левее точки А и правее точки В (см. Рис.3а). Это даёт возможность пользователю не терять контроля над объектом при нахождении его (объекта) на границах рабочей зоны, т.е., несмотря на уже значительную нелинейность, здесь сохраняется монотонность характеристик, что увеличивает запас устойчивости и улучшает динамику систем регулирования с обратной связью. Для сравнения на Рис.3б и Рис.3в приведены типовые зависимости Uвых. = f (S) и Iвых. = f (S), характерные для аналоговых датчиков производства TURCK, Ifm Electronic, СЕНСОР и др.

До сентября 2009 года компания ТЕКО намерена также вывести на рынок аналоговые датчики повышенной линейности (отклонение от линейной зависимости ~ 1%) с индикацией нахождения объекта в границах линейной зоны. Датчики с такими характеристиками позволяют занять промежуточную нишу между упоминавшимися выше индуктивными измерительными преобразователями и традиционными аналоговыми датчиками, значительно выигрывая у первых по цене, а у вторых – по точности и линейности.

Высокая квалификация инженеров – схемотехников, имеющих большой "аналоговый" опыт разработок, инженеров – конструкторов, испытателей, современное технологическое и испытательное оборудование, а также высокая технологическая дисциплина позволяют компании ТЕКО производить продукцию высокого качества, успешно конкурировать с ведущими отечественными и зарубежными производителями средств автоматизации.

P.S.: индуктивные выключатели с аналоговым выходом, о которых шла речь в этой статье производятся компанией ТЕКО серийно. В разработке и на стадии испытаний находятся аналоговые датчики с улучшенными электрическими и эксплуатационными характеристиками.

Компания ТЕКО по согласованию с заказчиком может также разработать и изготовить бесконтактные выключатели со специальными (уникальными) характеристиками, так называемые "заказные".


Войдите в профиль
Войдите или зарегестрируйтесь
Каталог
Отраслевые решения
Мы используем cookie. Это позволяет улучшить работу сайта, повысить его эффективность и удобство. Продолжая пользоваться сайтом, вы соглашаетесь с использованием файлов cookie и c нашей политикой конфиденциальности.
Согласен